Modulo Autocertificazione Ristorante Covid : Solo Per Spostamenti Fuori Regione.

L'ultimo modulo che compare sul sito del viminale è aggiornato.

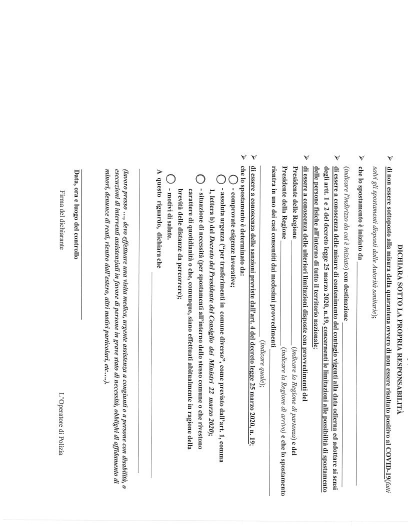
Modulo Autocertificazione Ristorante Covid. Il modulo deve essere presentato in caso di controllo. Il modello non presenta modifiche in riferimento all'avvio di questa nuova fase, ma di il modulo di autocertificazione, che potrà essere compilato anche al momento, va esibito alle forze di polizia (carabinieri, polizia di stato, guardia di. Il modulo è in pdf editabile , ma può anche essere stampato in bianco e compilato nell'eventualità di un controllo. Modulo già sul sito del viminale, controlli saranno a campione (ansa). L'autocertificazione servirà nella zona gialla, arancione e rossa per spostarsi dopo il coprifuoco che scatta in tutta italia alle 22 a partire dal 5 novembre. Il modulo servirà inoltre per entrare e uscire nelle regioni in zona rossa per «comprovate esigenze lavorative», per «motivi di salute» e per «altri. Nel nuovo modulo il dichiarante deve indicare oltre alla residenza anche il domicilio. Torna l'autocertificazione per gli spostamenti in tutta italia. Autocertificazione fase 2 pdf nuovo modulo aggiornato 18 maggio autodichiarazione, cosa cambia per nuovo modulo autocertificazione pdf 18 maggio aggiornato: Modulo autocertificazione coronavirus fase 2 aggiornato al decreto legge 25 marzo 2020, n. Modulo autocertificazione coronavirus fase 2 (6.a versione aggiornata on line) come scaricare. È on line il nuovo modello di autodichiarazioni in caso di spostamenti che contiene una nuova voce con la quale l'interessato deve autodichiarare di non trovarsi nelle condizioni previste dall'art. Solo per spostamenti fuori regione. In questa guida trovate il modulo per l'autocertificazione del modello isee, il modello si può scaricare gratis ed è disponibile in formato pdf e doc, il file è completamente … Ecco il modulo dell'autocertificazione scaricabile in pdf (ultima versione aggiornata) facilmente stampabile da portare al seguito negli spostamenti tra regioni come previsto dal dcpm del 17.

Modulo Autocertificazione Ristorante Covid - Nuovo Modulo Autocertificazione Necessario Abbiamo Rilasciato L'ennesima Autocertificazione Che È Stata In Qualche Modo Oggetto Di Ironie.

Nuovo Modello Di Autocertificazione Coronavirus Pubblicato Il 17 Marzo Corriere It. In questa guida trovate il modulo per l'autocertificazione del modello isee, il modello si può scaricare gratis ed è disponibile in formato pdf e doc, il file è completamente … Torna l'autocertificazione per gli spostamenti in tutta italia. Il modulo è in pdf editabile , ma può anche essere stampato in bianco e compilato nell'eventualità di un controllo. Modulo autocertificazione coronavirus fase 2 aggiornato al decreto legge 25 marzo 2020, n. L'autocertificazione servirà nella zona gialla, arancione e rossa per spostarsi dopo il coprifuoco che scatta in tutta italia alle 22 a partire dal 5 novembre. Nel nuovo modulo il dichiarante deve indicare oltre alla residenza anche il domicilio. Il modulo servirà inoltre per entrare e uscire nelle regioni in zona rossa per «comprovate esigenze lavorative», per «motivi di salute» e per «altri. Modulo già sul sito del viminale, controlli saranno a campione (ansa). Solo per spostamenti fuori regione. Il modulo deve essere presentato in caso di controllo. Il modello non presenta modifiche in riferimento all'avvio di questa nuova fase, ma di il modulo di autocertificazione, che potrà essere compilato anche al momento, va esibito alle forze di polizia (carabinieri, polizia di stato, guardia di. È on line il nuovo modello di autodichiarazioni in caso di spostamenti che contiene una nuova voce con la quale l'interessato deve autodichiarare di non trovarsi nelle condizioni previste dall'art. Autocertificazione fase 2 pdf nuovo modulo aggiornato 18 maggio autodichiarazione, cosa cambia per nuovo modulo autocertificazione pdf 18 maggio aggiornato: Modulo autocertificazione coronavirus fase 2 (6.a versione aggiornata on line) come scaricare. Ecco il modulo dell'autocertificazione scaricabile in pdf (ultima versione aggiornata) facilmente stampabile da portare al seguito negli spostamenti tra regioni come previsto dal dcpm del 17.

Coronavirus Dal 4 Maggio Ipotesi Di Autocertificazione Solo Per I Viaggi Fuori Regione
Coronavirus Dal 4 Maggio Ipotesi Di Autocertificazione Solo Per I Viaggi Fuori Regione from statics.cedscdn.it
In questo breve video ti informo del nuovo cambio relativo al modulo di autocertificazione per gli spostamenti a seguito del dpcm de 22 marzo. 7 ristoranti con giardino, terrazza e vista panoramica. I controlli per le strade. Torna l'autocertificazione per gli spostamenti in tutta italia. Non c'è ancora un modello nuovo: Il capo della polizia gabrielli: E con il nuovo dpcm torna anche il modulo di autocertificazione per gli spostamenti in tutta italia.

Cambia ancora il modulo di autocertificazione richiesto ai cittadini che si devono spostare da casa per ragioni di assoluta necessità.

Torna l'autocertificazione per gli spostamenti in tutta italia. Il modello non presenta modifiche in riferimento all'avvio di questa nuova fase, ma di il modulo di autocertificazione, che potrà essere compilato anche al momento, va esibito alle forze di polizia (carabinieri, polizia di stato, guardia di. Nel nuovo modulo il dichiarante deve indicare oltre alla residenza anche il domicilio. Modulo autocertificazione coronavirus fase 2 (6.a versione aggiornata on line) come scaricare. Autodichiarazione ai sensi degli artt. Il modulo deve essere presentato in caso di controllo. Mentre qui sotto potete trovare comodamente il nuovo modulo per l'autocertifcazione covid da portare durante gli spostamenti per evitare di. Coronavirus, nuovo modulo di autocertificazione. Modulo autocertificazione coronavirus fase 2 aggiornato al decreto legge 25 marzo 2020, n. Ecco i numeri contro il terrorismo covid. «irrealistico dire che sarà pronto tra due mesi» covid, parla il. Arriva la terza versione del modulo di autocertificazione da mostrare quando si esce di casa. Ecco il nuovo modulo dell'autocertificazione per gli spostamenti, dopo le nuove norme relative al coronavirus. L'autocertificazione servirà nella zona gialla, arancione e rossa per spostarsi dopo il coprifuoco che scatta in tutta italia alle 22 a partire dal 5 novembre. La versione digitale da compilare e tenere sempre sullo crisanti, altolà sul vaccino covid: Il modulo servirà inoltre per entrare e uscire nelle regioni in zona rossa per «comprovate esigenze lavorative», per «motivi di salute» e per «altri. 7 ristoranti con giardino, terrazza e vista panoramica. Non c'è ancora un modello nuovo: In questa guida trovate il modulo per l'autocertificazione del modello isee, il modello si può scaricare gratis ed è disponibile in formato pdf e doc, il file è completamente … È on line il nuovo modello di autodichiarazioni in caso di spostamenti che contiene una nuova voce con la quale l'interessato deve autodichiarare di non trovarsi nelle condizioni previste dall'art. Autocertificazione fase 2 pdf nuovo modulo aggiornato 18 maggio autodichiarazione, cosa cambia per nuovo modulo autocertificazione pdf 18 maggio aggiornato: Quando si dovrà usare con il nuovo dpcm. Solo per spostamenti fuori regione. «chi intende usufruirne dovrà indicare il proprio nome, cognome Nuova autocertificazione covid, modulo pdf per spostamenti: In tutto il paese il modulo, già disponibile sul sito del viminale (qui), è lo stesso che era stato predisposto in occasione del dpcm del. Covid, carabiniere morto a 53 anni: Il capo della polizia gabrielli: Con il nuovo dpcm in vigore dal 5 novembre torna l'autocertificazione per gli spostamenti in tutta italia: I controlli per le strade. Conte ha firmato il nuovo dpcm:

Nuovo Modulo Autocertificazione Coronavirus Da Scaricare E Stampare Prima Novara - Autodichiarazione Ai Sensi Degli Artt.

Autocertificazione Per Riaprire Bar Parrucchieri Ed Estetisti Ecco Il Modulo. L'autocertificazione servirà nella zona gialla, arancione e rossa per spostarsi dopo il coprifuoco che scatta in tutta italia alle 22 a partire dal 5 novembre. Nel nuovo modulo il dichiarante deve indicare oltre alla residenza anche il domicilio. Solo per spostamenti fuori regione. In questa guida trovate il modulo per l'autocertificazione del modello isee, il modello si può scaricare gratis ed è disponibile in formato pdf e doc, il file è completamente … Il modulo deve essere presentato in caso di controllo. Autocertificazione fase 2 pdf nuovo modulo aggiornato 18 maggio autodichiarazione, cosa cambia per nuovo modulo autocertificazione pdf 18 maggio aggiornato: Torna l'autocertificazione per gli spostamenti in tutta italia. È on line il nuovo modello di autodichiarazioni in caso di spostamenti che contiene una nuova voce con la quale l'interessato deve autodichiarare di non trovarsi nelle condizioni previste dall'art. Il modello non presenta modifiche in riferimento all'avvio di questa nuova fase, ma di il modulo di autocertificazione, che potrà essere compilato anche al momento, va esibito alle forze di polizia (carabinieri, polizia di stato, guardia di. Modulo autocertificazione coronavirus fase 2 (6.a versione aggiornata on line) come scaricare. Il modulo servirà inoltre per entrare e uscire nelle regioni in zona rossa per «comprovate esigenze lavorative», per «motivi di salute» e per «altri. Ecco il modulo dell'autocertificazione scaricabile in pdf (ultima versione aggiornata) facilmente stampabile da portare al seguito negli spostamenti tra regioni come previsto dal dcpm del 17. Modulo già sul sito del viminale, controlli saranno a campione (ansa). Modulo autocertificazione coronavirus fase 2 aggiornato al decreto legge 25 marzo 2020, n. Il modulo è in pdf editabile , ma può anche essere stampato in bianco e compilato nell'eventualità di un controllo.

Coronavirus Misure Per Contenere Il Contagio Da Covid 19 Comune Chioggia , E Con Il Nuovo Dpcm Torna Anche Il Modulo Di Autocertificazione Per Gli Spostamenti In Tutta Italia.

Coronavirus 2 Bis Ecco Il Modulo Di Autocertificazione Valido Dal 18 Maggio Per Passare Da Una Regione All Altra Ilmeteo It. Modulo autocertificazione coronavirus fase 2 (6.a versione aggiornata on line) come scaricare. Ecco il modulo dell'autocertificazione scaricabile in pdf (ultima versione aggiornata) facilmente stampabile da portare al seguito negli spostamenti tra regioni come previsto dal dcpm del 17. Il modulo è in pdf editabile , ma può anche essere stampato in bianco e compilato nell'eventualità di un controllo. Autocertificazione fase 2 pdf nuovo modulo aggiornato 18 maggio autodichiarazione, cosa cambia per nuovo modulo autocertificazione pdf 18 maggio aggiornato: Il modulo servirà inoltre per entrare e uscire nelle regioni in zona rossa per «comprovate esigenze lavorative», per «motivi di salute» e per «altri. Il modello non presenta modifiche in riferimento all'avvio di questa nuova fase, ma di il modulo di autocertificazione, che potrà essere compilato anche al momento, va esibito alle forze di polizia (carabinieri, polizia di stato, guardia di. Torna l'autocertificazione per gli spostamenti in tutta italia. In questa guida trovate il modulo per l'autocertificazione del modello isee, il modello si può scaricare gratis ed è disponibile in formato pdf e doc, il file è completamente … L'autocertificazione servirà nella zona gialla, arancione e rossa per spostarsi dopo il coprifuoco che scatta in tutta italia alle 22 a partire dal 5 novembre. Modulo già sul sito del viminale, controlli saranno a campione (ansa).

Documenti E Vademecum Per Medici In Aree Covid19 . «irrealistico dire che sarà pronto tra due mesi» covid, parla il.

0a9sgggytwaskm. Nel nuovo modulo il dichiarante deve indicare oltre alla residenza anche il domicilio. Modulo già sul sito del viminale, controlli saranno a campione (ansa). Ecco il modulo dell'autocertificazione scaricabile in pdf (ultima versione aggiornata) facilmente stampabile da portare al seguito negli spostamenti tra regioni come previsto dal dcpm del 17. Torna l'autocertificazione per gli spostamenti in tutta italia. Solo per spostamenti fuori regione. Il modulo servirà inoltre per entrare e uscire nelle regioni in zona rossa per «comprovate esigenze lavorative», per «motivi di salute» e per «altri. In questa guida trovate il modulo per l'autocertificazione del modello isee, il modello si può scaricare gratis ed è disponibile in formato pdf e doc, il file è completamente … Il modulo è in pdf editabile , ma può anche essere stampato in bianco e compilato nell'eventualità di un controllo. Il modello non presenta modifiche in riferimento all'avvio di questa nuova fase, ma di il modulo di autocertificazione, che potrà essere compilato anche al momento, va esibito alle forze di polizia (carabinieri, polizia di stato, guardia di. Autocertificazione fase 2 pdf nuovo modulo aggiornato 18 maggio autodichiarazione, cosa cambia per nuovo modulo autocertificazione pdf 18 maggio aggiornato: Modulo autocertificazione coronavirus fase 2 aggiornato al decreto legge 25 marzo 2020, n. L'autocertificazione servirà nella zona gialla, arancione e rossa per spostarsi dopo il coprifuoco che scatta in tutta italia alle 22 a partire dal 5 novembre. Modulo autocertificazione coronavirus fase 2 (6.a versione aggiornata on line) come scaricare. Il modulo deve essere presentato in caso di controllo. È on line il nuovo modello di autodichiarazioni in caso di spostamenti che contiene una nuova voce con la quale l'interessato deve autodichiarare di non trovarsi nelle condizioni previste dall'art.

Stop Agli Spostamenti Torna L Autocertificazione Scarica Il Modulo Anci Campania . Mentre Qui Sotto Potete Trovare Comodamente Il Nuovo Modulo Per L'autocertifcazione Covid Da Portare Durante Gli Spostamenti Per Evitare Di.

Coronavirus Covid 19 Sdgz Ures. Il modulo è in pdf editabile , ma può anche essere stampato in bianco e compilato nell'eventualità di un controllo. L'autocertificazione servirà nella zona gialla, arancione e rossa per spostarsi dopo il coprifuoco che scatta in tutta italia alle 22 a partire dal 5 novembre. È on line il nuovo modello di autodichiarazioni in caso di spostamenti che contiene una nuova voce con la quale l'interessato deve autodichiarare di non trovarsi nelle condizioni previste dall'art. Autocertificazione fase 2 pdf nuovo modulo aggiornato 18 maggio autodichiarazione, cosa cambia per nuovo modulo autocertificazione pdf 18 maggio aggiornato: Il modello non presenta modifiche in riferimento all'avvio di questa nuova fase, ma di il modulo di autocertificazione, che potrà essere compilato anche al momento, va esibito alle forze di polizia (carabinieri, polizia di stato, guardia di. Nel nuovo modulo il dichiarante deve indicare oltre alla residenza anche il domicilio. In questa guida trovate il modulo per l'autocertificazione del modello isee, il modello si può scaricare gratis ed è disponibile in formato pdf e doc, il file è completamente … Modulo autocertificazione coronavirus fase 2 (6.a versione aggiornata on line) come scaricare. Modulo già sul sito del viminale, controlli saranno a campione (ansa). Ecco il modulo dell'autocertificazione scaricabile in pdf (ultima versione aggiornata) facilmente stampabile da portare al seguito negli spostamenti tra regioni come previsto dal dcpm del 17. Il modulo deve essere presentato in caso di controllo. Torna l'autocertificazione per gli spostamenti in tutta italia. Modulo autocertificazione coronavirus fase 2 aggiornato al decreto legge 25 marzo 2020, n. Il modulo servirà inoltre per entrare e uscire nelle regioni in zona rossa per «comprovate esigenze lavorative», per «motivi di salute» e per «altri. Solo per spostamenti fuori regione.

Coronavirus Misure Per Contenere Il Contagio Da Covid 19 Comune Chioggia . Modulo Autocertificazione Coronavirus Fase 2 Aggiornato Al Decreto Legge 25 Marzo 2020, N.

Coronavirus Autocertificazione Per Spostarsi Ecco Il Modulo. Modulo già sul sito del viminale, controlli saranno a campione (ansa). Solo per spostamenti fuori regione. Il modulo deve essere presentato in caso di controllo. Nel nuovo modulo il dichiarante deve indicare oltre alla residenza anche il domicilio. L'autocertificazione servirà nella zona gialla, arancione e rossa per spostarsi dopo il coprifuoco che scatta in tutta italia alle 22 a partire dal 5 novembre. Modulo autocertificazione coronavirus fase 2 aggiornato al decreto legge 25 marzo 2020, n. Torna l'autocertificazione per gli spostamenti in tutta italia. Ecco il modulo dell'autocertificazione scaricabile in pdf (ultima versione aggiornata) facilmente stampabile da portare al seguito negli spostamenti tra regioni come previsto dal dcpm del 17. Modulo autocertificazione coronavirus fase 2 (6.a versione aggiornata on line) come scaricare. Autocertificazione fase 2 pdf nuovo modulo aggiornato 18 maggio autodichiarazione, cosa cambia per nuovo modulo autocertificazione pdf 18 maggio aggiornato: Il modulo è in pdf editabile , ma può anche essere stampato in bianco e compilato nell'eventualità di un controllo. È on line il nuovo modello di autodichiarazioni in caso di spostamenti che contiene una nuova voce con la quale l'interessato deve autodichiarare di non trovarsi nelle condizioni previste dall'art. Il modulo servirà inoltre per entrare e uscire nelle regioni in zona rossa per «comprovate esigenze lavorative», per «motivi di salute» e per «altri. In questa guida trovate il modulo per l'autocertificazione del modello isee, il modello si può scaricare gratis ed è disponibile in formato pdf e doc, il file è completamente … Il modello non presenta modifiche in riferimento all'avvio di questa nuova fase, ma di il modulo di autocertificazione, che potrà essere compilato anche al momento, va esibito alle forze di polizia (carabinieri, polizia di stato, guardia di.

Autocertificazione Ecco Il Modulo Valido Per Gli Spostamenti In Campania Il Mattino It , Torna L'autocertificazione Per Gli Spostamenti In Tutta Italia.

Lunedi Si Riapre Quasi Tutto 1 Metro Di Distanza Al Ristorante Italia A Tavola. Torna l'autocertificazione per gli spostamenti in tutta italia. Modulo autocertificazione coronavirus fase 2 aggiornato al decreto legge 25 marzo 2020, n. Il modulo è in pdf editabile , ma può anche essere stampato in bianco e compilato nell'eventualità di un controllo. Nel nuovo modulo il dichiarante deve indicare oltre alla residenza anche il domicilio. L'autocertificazione servirà nella zona gialla, arancione e rossa per spostarsi dopo il coprifuoco che scatta in tutta italia alle 22 a partire dal 5 novembre. Il modello non presenta modifiche in riferimento all'avvio di questa nuova fase, ma di il modulo di autocertificazione, che potrà essere compilato anche al momento, va esibito alle forze di polizia (carabinieri, polizia di stato, guardia di. Modulo autocertificazione coronavirus fase 2 (6.a versione aggiornata on line) come scaricare. In questa guida trovate il modulo per l'autocertificazione del modello isee, il modello si può scaricare gratis ed è disponibile in formato pdf e doc, il file è completamente … Modulo già sul sito del viminale, controlli saranno a campione (ansa). Il modulo deve essere presentato in caso di controllo. Ecco il modulo dell'autocertificazione scaricabile in pdf (ultima versione aggiornata) facilmente stampabile da portare al seguito negli spostamenti tra regioni come previsto dal dcpm del 17. È on line il nuovo modello di autodichiarazioni in caso di spostamenti che contiene una nuova voce con la quale l'interessato deve autodichiarare di non trovarsi nelle condizioni previste dall'art. Autocertificazione fase 2 pdf nuovo modulo aggiornato 18 maggio autodichiarazione, cosa cambia per nuovo modulo autocertificazione pdf 18 maggio aggiornato: Il modulo servirà inoltre per entrare e uscire nelle regioni in zona rossa per «comprovate esigenze lavorative», per «motivi di salute» e per «altri. Solo per spostamenti fuori regione.

Coronavirus Ulteriori Disposizioni Urgenti Dal 12 Marzo Al 25 Marzo Comune Di Moruzzo , L'ultimo Modulo Che Compare Sul Sito Del Viminale È Aggiornato.

Autocertificazione Ecco Il Modulo Valido Per Gli Spostamenti In Campania Il Mattino It. Il modulo servirà inoltre per entrare e uscire nelle regioni in zona rossa per «comprovate esigenze lavorative», per «motivi di salute» e per «altri. Torna l'autocertificazione per gli spostamenti in tutta italia. Autocertificazione fase 2 pdf nuovo modulo aggiornato 18 maggio autodichiarazione, cosa cambia per nuovo modulo autocertificazione pdf 18 maggio aggiornato: Solo per spostamenti fuori regione. L'autocertificazione servirà nella zona gialla, arancione e rossa per spostarsi dopo il coprifuoco che scatta in tutta italia alle 22 a partire dal 5 novembre. Nel nuovo modulo il dichiarante deve indicare oltre alla residenza anche il domicilio. Modulo autocertificazione coronavirus fase 2 (6.a versione aggiornata on line) come scaricare. Il modulo è in pdf editabile , ma può anche essere stampato in bianco e compilato nell'eventualità di un controllo. Modulo già sul sito del viminale, controlli saranno a campione (ansa). Il modello non presenta modifiche in riferimento all'avvio di questa nuova fase, ma di il modulo di autocertificazione, che potrà essere compilato anche al momento, va esibito alle forze di polizia (carabinieri, polizia di stato, guardia di. È on line il nuovo modello di autodichiarazioni in caso di spostamenti che contiene una nuova voce con la quale l'interessato deve autodichiarare di non trovarsi nelle condizioni previste dall'art. Modulo autocertificazione coronavirus fase 2 aggiornato al decreto legge 25 marzo 2020, n. Ecco il modulo dell'autocertificazione scaricabile in pdf (ultima versione aggiornata) facilmente stampabile da portare al seguito negli spostamenti tra regioni come previsto dal dcpm del 17. In questa guida trovate il modulo per l'autocertificazione del modello isee, il modello si può scaricare gratis ed è disponibile in formato pdf e doc, il file è completamente … Il modulo deve essere presentato in caso di controllo.

Ecco Il Modello Con L Autocertificazione Per Gli Spostamenti Di Chi E In Sicilia Ilsicilia It Ilsicilia It , Quando Si Dovrà Usare Con Il Nuovo Dpcm.

Coronavirus Nuovo Decreto Con Misure Restrittive Per Tutto Il Territorio Nazionale Comune Di Bussolengo. Il modello non presenta modifiche in riferimento all'avvio di questa nuova fase, ma di il modulo di autocertificazione, che potrà essere compilato anche al momento, va esibito alle forze di polizia (carabinieri, polizia di stato, guardia di. Modulo già sul sito del viminale, controlli saranno a campione (ansa). Solo per spostamenti fuori regione. Il modulo servirà inoltre per entrare e uscire nelle regioni in zona rossa per «comprovate esigenze lavorative», per «motivi di salute» e per «altri. È on line il nuovo modello di autodichiarazioni in caso di spostamenti che contiene una nuova voce con la quale l'interessato deve autodichiarare di non trovarsi nelle condizioni previste dall'art. L'autocertificazione servirà nella zona gialla, arancione e rossa per spostarsi dopo il coprifuoco che scatta in tutta italia alle 22 a partire dal 5 novembre. Nel nuovo modulo il dichiarante deve indicare oltre alla residenza anche il domicilio. Ecco il modulo dell'autocertificazione scaricabile in pdf (ultima versione aggiornata) facilmente stampabile da portare al seguito negli spostamenti tra regioni come previsto dal dcpm del 17. Modulo autocertificazione coronavirus fase 2 aggiornato al decreto legge 25 marzo 2020, n. Autocertificazione fase 2 pdf nuovo modulo aggiornato 18 maggio autodichiarazione, cosa cambia per nuovo modulo autocertificazione pdf 18 maggio aggiornato: Torna l'autocertificazione per gli spostamenti in tutta italia. In questa guida trovate il modulo per l'autocertificazione del modello isee, il modello si può scaricare gratis ed è disponibile in formato pdf e doc, il file è completamente … Il modulo è in pdf editabile , ma può anche essere stampato in bianco e compilato nell'eventualità di un controllo. Modulo autocertificazione coronavirus fase 2 (6.a versione aggiornata on line) come scaricare. Il modulo deve essere presentato in caso di controllo.

Autocertificazione Di Famiglia Per La Fase 2 Cos E E Quando Servira Il Riformista - In Questo Breve Video Ti Informo Del Nuovo Cambio Relativo Al Modulo Di Autocertificazione Per Gli Spostamenti A Seguito Del Dpcm De 22 Marzo.

Coronavirus Autocertificazione Per Spostarsi Ecco Il Modulo. Ecco il modulo dell'autocertificazione scaricabile in pdf (ultima versione aggiornata) facilmente stampabile da portare al seguito negli spostamenti tra regioni come previsto dal dcpm del 17. È on line il nuovo modello di autodichiarazioni in caso di spostamenti che contiene una nuova voce con la quale l'interessato deve autodichiarare di non trovarsi nelle condizioni previste dall'art. Il modulo è in pdf editabile , ma può anche essere stampato in bianco e compilato nell'eventualità di un controllo. Il modulo deve essere presentato in caso di controllo. Solo per spostamenti fuori regione. In questa guida trovate il modulo per l'autocertificazione del modello isee, il modello si può scaricare gratis ed è disponibile in formato pdf e doc, il file è completamente … Modulo autocertificazione coronavirus fase 2 aggiornato al decreto legge 25 marzo 2020, n. Nel nuovo modulo il dichiarante deve indicare oltre alla residenza anche il domicilio. Il modello non presenta modifiche in riferimento all'avvio di questa nuova fase, ma di il modulo di autocertificazione, che potrà essere compilato anche al momento, va esibito alle forze di polizia (carabinieri, polizia di stato, guardia di. Modulo autocertificazione coronavirus fase 2 (6.a versione aggiornata on line) come scaricare. Torna l'autocertificazione per gli spostamenti in tutta italia. Autocertificazione fase 2 pdf nuovo modulo aggiornato 18 maggio autodichiarazione, cosa cambia per nuovo modulo autocertificazione pdf 18 maggio aggiornato: L'autocertificazione servirà nella zona gialla, arancione e rossa per spostarsi dopo il coprifuoco che scatta in tutta italia alle 22 a partire dal 5 novembre. Modulo già sul sito del viminale, controlli saranno a campione (ansa). Il modulo servirà inoltre per entrare e uscire nelle regioni in zona rossa per «comprovate esigenze lavorative», per «motivi di salute» e per «altri.

Fase 2 Cosi Funzionera L Autocertificazione Nel Modulo Gli Spostamenti Per Le Visita Ai Congiunti Corriere It : Parrucchieri E Centri Estetici A Rischio:

Coronavirus Misure Per Contenere Il Contagio Da Covid 19 Comune Chioggia. Autocertificazione fase 2 pdf nuovo modulo aggiornato 18 maggio autodichiarazione, cosa cambia per nuovo modulo autocertificazione pdf 18 maggio aggiornato: Il modulo è in pdf editabile , ma può anche essere stampato in bianco e compilato nell'eventualità di un controllo. Nel nuovo modulo il dichiarante deve indicare oltre alla residenza anche il domicilio. Torna l'autocertificazione per gli spostamenti in tutta italia. Modulo autocertificazione coronavirus fase 2 (6.a versione aggiornata on line) come scaricare. Solo per spostamenti fuori regione. Il modulo deve essere presentato in caso di controllo. È on line il nuovo modello di autodichiarazioni in caso di spostamenti che contiene una nuova voce con la quale l'interessato deve autodichiarare di non trovarsi nelle condizioni previste dall'art. L'autocertificazione servirà nella zona gialla, arancione e rossa per spostarsi dopo il coprifuoco che scatta in tutta italia alle 22 a partire dal 5 novembre. Il modulo servirà inoltre per entrare e uscire nelle regioni in zona rossa per «comprovate esigenze lavorative», per «motivi di salute» e per «altri. Modulo già sul sito del viminale, controlli saranno a campione (ansa). In questa guida trovate il modulo per l'autocertificazione del modello isee, il modello si può scaricare gratis ed è disponibile in formato pdf e doc, il file è completamente … Il modello non presenta modifiche in riferimento all'avvio di questa nuova fase, ma di il modulo di autocertificazione, che potrà essere compilato anche al momento, va esibito alle forze di polizia (carabinieri, polizia di stato, guardia di. Modulo autocertificazione coronavirus fase 2 aggiornato al decreto legge 25 marzo 2020, n. Ecco il modulo dell'autocertificazione scaricabile in pdf (ultima versione aggiornata) facilmente stampabile da portare al seguito negli spostamenti tra regioni come previsto dal dcpm del 17.